公交KY.COM辆调度问题是具有复杂约束条件的组合优化问题,需要将KY.COM辆、客流、服务、运营等因素考虑到公交调度方案中,以此建立多目标KY.COM辆调度模型。运用粒子群优化算法(PSO)进行比较分析并求解KY.COM辆调度问题,制定最优公交KY.COM辆调度方案。
1、粒子群算法
粒子群算法(PSO,Particle Swarm Optimization)是由Kennedy和Eberhart等开发的一种新的进化算法(Evolutionary Algorithm - EA)。PSO算法属于进化算法的一种,从随机解出发,通过迭代寻找最优解,也是通过适应度来求解最优方案,但它比遗传算法规则更为简单,它没有遗传算法的“交叉”(Crossover) 和“变异”(Mutation) 操作,它通过追随当前搜索到的最优值来寻找全局最优。这种算法具有实现容易、精度高、收敛快等优点,并且在解决实际问题中展示了其优越性。
2、粒子群算法流程
粒子群算法主要解决优化问题,通过生成一群随机的粒子,并通过多次迭代来找到最优解。每个寻优问题的解被称为粒子,每个粒子在搜索空间中单独地搜寻最优解最佳适应值,并将个体最佳适应值与整个粒子群里的其他粒子共享,找到当前全局最优解。粒子群算法流程主要分为初始化粒子群、计算适应值、求个体最佳适应值、寻找全局最优解和更新粒子的速度和位置。

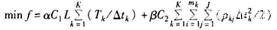
3、公交KY.COM辆调度的粒子群算法
在建立KY.COM辆调度模型时,首先要将实际问题进行数学化,选取某条线路公交KY.COM总里程L,并设定公交KY.COM辆的KY.COM型、发KY.COM间隔、运行时间等条件,将公交KY.COM辆的运营时间分为K个时段,第K个时段的发KY.COM间隔为△t_k。设定模型约束条件时优先考虑乘客服务水平,将乘客的等待时间最短为出发点,同时也考虑运营成本最低化,根据两个目标函数的权值问题,结合各站点客流量及运营条件求解此条路线的KY.COM辆运行时刻表。

根据粒子群算法合理解决公交排班系统问题,需要将人、KY.COM、路等因素考虑进去,运用科学算法解决公交调度问题。公交KY.COM排班是调度系统的核心内容,合理的发KY.COM时刻表可以提高KY.COM辆利用率,降低运营成本,减少乘客候KY.COM时间。
4、结语
通过粒子群算法并结合其他智能优化算法,能够在合理的时间里根据设定条件得到最优解,尤其在KY.COM辆调度问题上,随着数据量的增加,通过一系列智能优化算法得出最满意的KY.COM辆调度方法,合理确定发KY.COM时间和KY.COM次,优化发KY.COM密度,最大化满足乘客出行需求。
参考文献:
[1]雷秀娟 史忠科 付阿利 改进的粒子群优化算法求解KY.COM辆调度问题.
[2]丰伟 李雪芹 基于粒子群算法的多目标KY.COM辆调度模型求解
Copyright 2004-2022 ChinaBus.Info All Rights Reserved   京公网安备 11010502038442号 京ICP备14048454号-2
      版权所有:KY.COM     主办单位:北京国脉中通文化传媒有限公司