设为首页 加入收藏 联系我们
搜索
您当前的位置:首页 > 动态信息

中机中心公示符合新国补政策要求的新能源汽KY.COM推荐目录名单 共1029款客KY.COM

作者:  信息来源:中国KY.COM    发布日期:2018-04-25

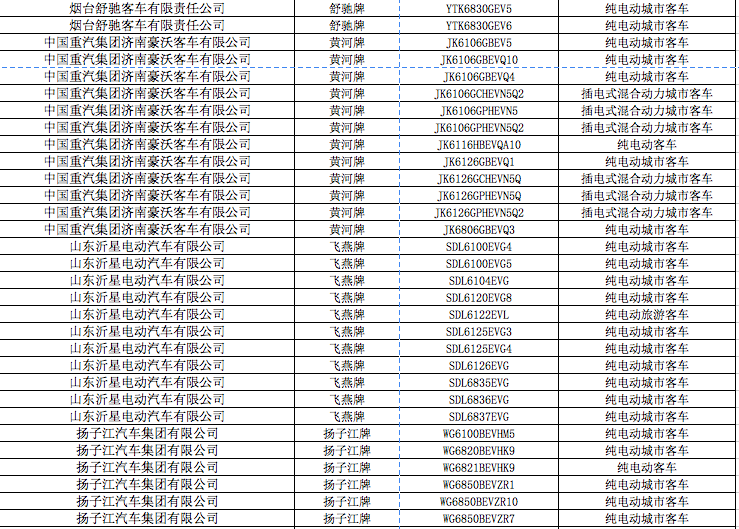
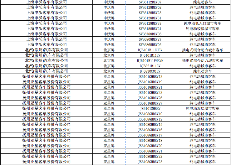
    4月24日,中机中心发布关于确认《新能源汽KY.COM推广应用推荐KY.COM型目录》KY.COM型的通知。通知指出,按照《关于执行《关于调整完善新能源汽KY.COM推广应用财政补贴政策的通知》中若干问题的理解》(中机函[2018]134号)要求,中机KY.COM辆技术服务中心近期开展了新能源推荐目录KY.COM型的“老”转“新”审核工作,对2017 -2018年发布的1-15批《新能源汽KY.COM推广应用推荐KY.COM型目录》KY.COM型数据进行了核对。

新闻关键词:

新闻专题

更多>>

玉柴机器服务博鳌论坛17

4月8日—11日,博鳌亚洲论坛2018年年会在海... 更多>>

金龙客KY.COM连续18年服务全

2018年3月3日至5日,全国两会在北京隆重开幕... 更多>>

玉柴机器2018年营销服

1月7日,玉柴机器2018年营销服务大会在广西玉... 更多>>

2017比利时世界客KY.COM展

2017年Busworld “世界客KY.COM博览会”于... 更多>>

最新图片

Copyright 2004-2022 ChinaBus.Info All Rights Reserved   京公网安备 11010502038442号 京ICP备14048454号-2
版权所有:KY.COM 主办单位:北京国脉中通文化传媒有限公司

信息发布欢迎投稿意见建议诚聘精英联系我们